Stellar astronomy:
Stellar pulsation and Asteroseismology
New class of objects:
PMS and post-MS pulsating stars in the Delta Scuti region, M=1.8MO
Figure 1: At the center, image of the star pre-main-sequence HD
104237, of magnitude mV=6.6 (the other brighter star is HD
104174, a B9V star of magnitude 4.9.). HD 104237 is a variable
Herbig star, for which oscillations have been detected
photometrically (by Kurtz & Müller 1999) and spectroscopically
(by Donati et al 1997). It is also the only pre-main-sequence star
where a magnetic field has been detected directly. It is a tight
binary, with a companion of T Tauri type.
HR track for a star of 1.8MO (CESAM & HENYEY). Also is shown the instability strip red and blue borders. Reference:
Observations:
Theory:
;
Pulsational diagram for a star of 1.8MO
;
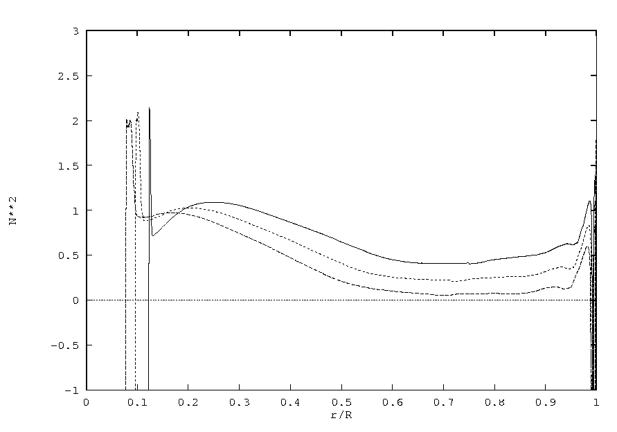
Brunt-Vaisala frequencies for different pms evolutive phases of a 1.8MO star
;
compared with Brunt-Vaisala frequencies for different post-ms evolutive phases of a 1.8MO star
"Comparative seismology of pre- and main sequence stars in the instability strip"
Marian Suran, Marie-Jo Goupil, Annie Baglin, Yveline Lebreton, Claude Catala:
2001 Astronomy and Astrophysics in press
astro-ph/0104319.